编者按:春节,是华夏儿女最温暖的团圆时刻。佳肴美馔中流淌着亲情,烟火气里氤氲着年味,饮食——从来都是庆典的核心仪式。然而,对于心肾代谢综合征(CKM)患者而言,这舌尖上的欢愉却暗藏健康隐患——稍不留意,血糖波动、血压飙升、血脂异常等代谢紊乱便可能悄然来袭。本期,小编循证科学,以春节年味为引,为CKM患者精研一份“心肾稳护饮食攻略”,让这个春节,既有热气腾腾的烟火气,更有稳稳当当的平安福。

一、春节“代谢风暴”:不容忽视的“节日效应”多项流行病学研究已证实,节日期间人们常因饮食、作息等生活方式改变,对慢性代谢性疾病患者的临床指标产生显著负面影响,这一现象被称为“节日效应”。例如,上海闵行区疾病预防控制中心开展的一项为期9年(2007~2015年)的队列研究,纳入49 572例社区管理的2型糖尿病患者,首次系统探讨了春节对中国2型糖尿病患者血糖控制的具体影响[1]。
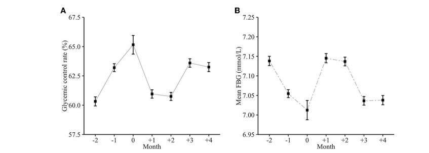
血糖控制率显著下降:春节后患者血糖控制率较节前降低1.9%(由65.0%降至63.1%,P<0.001),这意味着近1/5的患者血糖管理效果出现明显波动(图1)。
空腹血糖明显升高:节后平均空腹血糖较节前增加0.07 mmol/L(由6.92 mmol/L升至6.99 mmol/L,P<0.001),这一微小但稳定的上升趋势提示节日期间代谢负担持续存在(图1)。
血糖波动加剧:在节日影响期(节前2个月至节后2个月),患者血糖标准差(SD)和变异系数(CV)显著高于非节日期,比值分别达1.49(95%CI:1.46~1.52)和1.42(95%CI:1.40~1.44),反映出节日期间血糖波动幅度增大、稳定性下降的特点。
低血糖风险增加:节日期间低血糖报告发生率高达9.9/10 000,显著高于节前和节后水平,这可能与节日期间用药不规律、运动量减少或过度控制饮食有关。

图1:春节前后血糖控制率(A)与平均空腹血糖(B)的变化趋势
进一步分析发现,春节对特定人群——60~69岁人群、超重或肥胖者、合并高血压患者、病程不足3年及既往血糖控制不佳的糖尿病患者的代谢健康冲击更为显著。这种由节日引发的代谢紊乱状态可能持续至节后3~4个月,不仅会加剧血糖波动,还会显著增加糖尿病微血管并发症(如视网膜病变、肾病)和大血管并发症(如心肌梗死、脑卒中)的发生风险,形成连锁反应。
其首要诱因便是饮食结构的失衡——节日期间高盐、高脂、高糖的零食摄入量激增,而膳食纤维和优质蛋白的摄入却明显不足,这种“三高一低”的饮食模式直接加重代谢负担。其次,生活节律紊乱——熬夜守岁、久坐聚会等,治疗依从性下降——漏服降糖/降压药物、血糖监测频率降低等也是不可忽视的原因。
二、春节代谢防护:CKM患者的饮食“防御手册”针对春节代谢挑战,CKM患者需实施“主动防御”饮食策略以维持代谢稳定。其核心原则包括:(1)控总量、调结构——每日能量摄入较平日减少300~500kcal,保持蛋白质1.2~1.5g/kg/d,碳水化合物占45%~50%、脂肪占25%~30%的能量比例;(2)低钠高钾——食盐<5g/天,增加菠菜、香蕉、橙子等富钾蔬果;(3)优质蛋白优先——增加鱼类、去皮禽肉、豆制品等,减少红肉及加工肉类;(4)控糖限酒——避免含糖饮料与甜点,男性酒精摄入≤25g/天、女性≤15g/天;(5)规律进餐——三餐定时定量,避免社交“赶场”而暴饮暴食或过度饥饿。此外,针对不同特征人群,建议采取更个性化的策略(表1)。
表1. 不同特征人群的饮食策略
三、春节零食攻略:CKM患者的避坑指南春节期间,零食往往成为“甜蜜的负担”。一项对30种常见春节零食的能量密度和营养成分分析显示[2],传统节日零食普遍具有高能量密度、高钠、高脂的特点,能量密度范围为379~656kcal/100g,其中咸蛋黄鱼皮、虾片、花生酥等零食的脂肪含量超过30%。

图2. 30种常见春节零食的脂肪酸组成
1.春节零食“红绿灯”清单绿灯零食(推荐选择)原味坚果(限量):如杏仁(23.5g脂肪/100g,富含MUFA)、核桃(α-亚麻酸来源)、烤鹰嘴豆,每日不超过一小把(约20-30g)。慢性肾病患者尤其注意避免过量。
新鲜蔬果:如草莓(GI=41)、蓝莓(富含花青素)、黄瓜、小番茄。
蒸煮类零食:如煮玉米、蒸山药、烤红薯、煮毛豆(替代传统糕点)。
低脂奶制品:如无糖希腊酸奶(蛋白质含量>10g/100g)、低脂奶酪棒。
海苔(无盐/低盐):选择钠含量<100mg/100g的产品,注意控制份量(1-2片/次)。
黄灯零食(限量慎选)传统糕点:如凤梨酥(含糖35-40g/100g)、桃酥(脂肪30-35g/100g),每周不超过1次,每次不超过1小块。
米饼/糙米卷:选择无盐、无糖添加的产品,控制在3-5片/次。
鱼干/肉脯:选择低盐产品,每周不超过1次,每次不超过20g(约1-2片)。
红灯零食(严格禁止)油炸零食:如薯片、虾片、油条,反式脂肪酸和丙烯酰胺含量高。
腌制食品:如腊肉、香肠、酱鸭,钠含量高达1000-2000mg/100g。
含糖饮料:如可乐、果汁饮料,1瓶(500ml)含糖约50g,远超每日推荐量。
酥皮点心:如蛋挞、老婆饼,含大量反式脂肪酸和饱和脂肪酸。
2.新型零食——代糖零食、益生菌零食如何选?春节的甜,要选得“聪明”才安心。许多CKM患者会钟情于含阿斯巴甜、蔗糖素的“无糖零食”,觉得既能解馋又健康,但需留心:2023年世界卫生组织(WHO)的《非糖甜味剂使用指南》早已敲响警钟——长期使用这类人工甜味剂,可能悄悄为2型糖尿病和心血管疾病“埋下隐患”。因而,别让“无糖”二字迷了眼!试试这三个温暖小策略:用天然甜味“点亮”节日——少量葡萄干、椰枣的天然甜,比人工甜味剂更安心;无糖零食也要“有度”,毕竟其中的碳水化合物仍会让血糖“悄悄爬坡”,可别因“无糖”就放松警惕;更别让多种甜味剂“扎堆”出现,比如含蔗糖素的饮料配阿斯巴甜的饼干,叠加效应可能会让代谢系统“超负荷”。
肠道菌群与CKM综合征的关联近年备受关注。研究表明,特定益生菌株与益生元的科学配比干预,能有效调节代谢平衡。在选择益生菌零食时,优先选择活性菌数量充足(>10^8 CFU/g)、避开添加糖、人工甜味剂及化学增稠剂的产品;肾功能不全者需特别关注磷、钾含量,选择低磷低钾的定制配方。这些调整既契合节日饮食场景,又能通过肠道菌群调节为代谢健康加分,让传统年味与科学养身和谐共融。
让健康成为最好的新年礼物春节是阖家团圆的温暖时刻,更是健康管理的“黄金窗口期”。对于CKM患者而言,科学饮食不是“剥夺美味”,而是“智慧选择”。记住“3个一”暖心守则:每天测一次血糖/血压,每天至少一次30分钟中等强度运动(如八段锦、快走),每顿聚餐前先规划一份健康零食。
愿这个春节,您不仅能收获团圆的喜悦,更能收获由内而外的健康活力——让每一口年味都成为健康的“加分项”,每一刻团圆都成为健康的“充电站”。
参考文献:
1. Xu H, et al. Front Public Health. 2022;10:975544. doi: 10.3389/fpubh.2022.975544
2. Yeo MTY, et al. Foods. 2020;9(8):1137. doi: 10.3390/foods9081137