发表时间:2026-02-04 10:35:26
根据美国糖尿病协会(ADA)指南,成人糖尿病患者应每周进行至少150 min的MVPA,并建议分散在3天及以上完成。然而,现实数据显示,仅有不足50%的糖尿病患者能达到此标准。对于因时间受限而难以坚持规律锻炼的患者,将推荐的MVPA集中在周末1~2天内完成的“周末战士”模式,是否仍能带来显著的健康益处,是临床实践中亟待解答的问题。
近期,发表于Annals of Internal Medicine杂志的一项大型前瞻性队列研究,利用1997~2018年美国国家健康访谈调查(NHIS)的数据,链接至2019年底的国家死亡指数(NDI)记录,对51 650例自我报告患有糖尿病的美国成人进行了长达中位9.5年的随访,旨在明确不同体力活动模式与糖尿病患者死亡风险的关系。
研究方法与人群特征
1. 不运动组(Inactive):未报告任何MVPA。
2. 运动不足组(Insufficiently Active):MVPA<150 min/周。
3. 周末战士组(Weekend Warrior):MVPA≥150min/周,集中在1~2次完成。
4. 规律运动组(Regularly Active):MVPA≥150min/周,分≥3次完成。
研究的主要终点为全因死亡、心血管死亡和癌症死亡。
研究采用Cox比例风险模型计算多变量校正后的风险比(HR),并调整了年龄、性别、种族、教育、吸烟、饮酒、BMI、多种慢性病、心理状态、糖尿病病程、用药情况等大量潜在混杂因素。
研究结果
1. 全因死亡
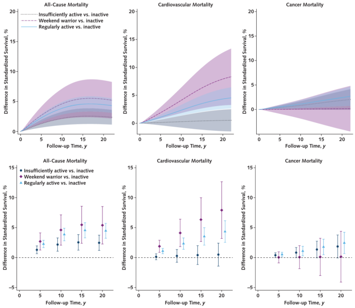
与不运动组相比,各运动组的全因死亡风险均显著降低(图1):
运动不足组:HR=0.90(95%CI:0.85~0.95),绝对死亡减少5.75/1000人年。
周末战士组:HR=0.79(95%CI:0.69~0.91),绝对死亡减少9.60/1000人年。
规律运动组:HR=0.83(95%CI:0.78~0.87),绝对死亡减少8.44/1000人年。
这一发现提示,即使未达到指南推荐总量,任何程度的体力活动均有益于糖尿病患者的生存。而周末战士和规律运动两种模式均能带来约17%~21%的全因死亡风险下降。

图1. 在成人糖尿病中,不同运动模式的标准化生存率差异
2. 心血管死亡
心血管死亡风险的降低是全因死亡风险下降的主要驱动因素。与不运动组相比:
运动不足组:未显示出显著的心血管保护作用(HR=0.98,95%CI:0.89~1.07)。
周末战士组:心血管死亡风险显著降低33%(HR=0.67,95%CI:0.52~0.86)。
规律运动组:心血管死亡风险降低19%(HR=0.81,95%CI:0.74~0.88)。
值得注意的是,周末战士模式在降低心血管死亡风险方面,其效果甚至优于规律运动模式。
3. 癌症死亡
在癌症死亡风险方面,各组间的差异相对较小:
运动不足组:有降低趋势(HR=0.88,95%CI:0.78~1.00)。
周末战士组:未观察到显著关联(HR=0.99,95%CI:0.76~1.30)。
规律运动组:显示出显著的保护作用(HR=0.85,95%CI:0.75~0.96)。
讨论与临床意义
本研究的临床意义在于,它支持了为糖尿病患者提供个体化、灵活化的运动处方。医生在临床实践中,应鼓励患者根据自身情况,选择最有可能长期坚持的运动模式。对于“周末战士”型患者,应肯定其运动行为的价值,而非简单地批评其“不规律”。
需要注意的是,本研究为观察性研究,存在固有局限性:体力活动数据为基线单次自报,可能存在回忆偏倚,且无法捕捉随访期间的行为变化;仅评估了休闲时间体力活动,未纳入职业性或交通性活动;尽管调整了大量协变量,但仍可能存在未测量的混杂因素(如饮食)。
结论文献索引:Wu Z, Sheng C, Guo Z, et al. Association of Weekend Warrior and Other Physical Activity Patterns With Mortality Among Adults With Diabetes : A Cohort Study. Ann Intern Med. 2025 Jul 22.