编者按:
在慢性肾脏病(CKD)的诊断领域,我们长期依赖一个固定的估算肾小球滤过率(eGFR)阈值——60 ml/(min·1.73m2)。这一“一刀切”的标准虽在临床实践中广泛应用,却日益暴露出其局限性:它可能导致对生理性肾功能衰退的老年人过度诊断,同时又可能错过肾功能下降速度过快的年轻高危患者。
最近,一项发表于Kidney International(IF:12.6)的研究提出,通过将个体的eGFR与其同龄、同性别群体的百分位数进行比较,可以更早期地识别风险[1]。从“固定阈值”到“个性化百分位数”的转变,可能有助于CKD精准医疗迈出重要一步。本文将为您深度解读这项研究的核心发现,并结合专家点评,探讨这一新工具如何助力CKD精准诊断。
一、核心研究:基于人群的eGFR百分位数分布及其风险关联[1]1.研究背景与目的慢性肾脏病(CKD)的早期识别和一级预防策略仍有待完善。尽管eGFR的自动报告已成为常规,但现行诊断标准往往意味着患者约50%的肾功能已经丧失。研究者假设,将个体的eGFR与其所在年龄和性别群体的分布进行比较(类似于评估儿童生长发育的百分位曲线),可能有助于更早地识别出那些虽然eGFR绝对值“正常”但已处于高风险状态的个体
本研究旨在构建瑞典斯德哥尔摩地区40岁及以上成年人的eGFR分布图,并验证eGFR百分位数与肾衰竭和死亡风险的关联性。
2.研究方法该研究是一项基于人群的观察性队列研究,分析了斯德哥尔摩肌酐测量(SCREAM)项目的海量数据。研究人员纳入了2006年至2021年间,斯德哥尔摩地区1 179 501名年龄在40~100岁的成年人,这一庞大样本覆盖了该地区80%的同年龄段人口。在数据收集阶段,研究团队共获取了6 914 993次重复的年度eGFR测量值,eGFR主要采用2009年CKD-EPI肌酐公式进行计算。
随后,研究团队依据年龄和性别对eGFR分布进行精细计算,绘制出第10、25、50、75和90百分位数的曲线图。在结局评估方面,研究采用Cox比例风险回归模型,以中心百分位数(47.5%~52.5%)为参照组,系统评估了不同eGFR百分位数与需要肾脏替代治疗的肾衰竭(KFRT)及全因死亡风险之间的关联。
3.主要研究结果eGFR随年龄增长呈下降趋势结果显示,中位eGFR随着年龄的增长而降低,呈现出清晰的年龄相关性(图1)。在40岁时,男性和女性的中位eGFR分别为104 ml/(min·1.73m2)和106 ml/(min·1.73m2);而到100岁时,该数值降至45~50 ml/(min·1.73m2)。值得注意的是,男性的中位eGFR在87岁时降至60 ml/(min·1.73m2)以下,而女性则在88岁时达到类似水平。

图1:男性(a)与女性(b)eGFR随年龄变化的百分位数分布曲线
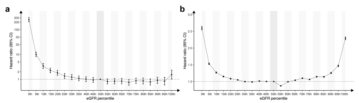
低eGFR百分位数与高风险显著相关在长达10年的中位随访时间内,共发生2651例肾脏替代治疗(KFRT)事件和223 875例死亡事件。与eGFR处于中心百分位数(47.5%~52.5%)的个体相比,处于较低eGFR百分位数的人群KFRT的风险显著增加;当eGFR低于25%~30%时,差异具有统计学意义(P<0.05)(图2a)。而死亡风险则呈现出一种“U”型关联:不仅低eGFR百分位数(<25th)与死亡率升高相关,极高的eGFR百分位数(>75th)同样与死亡率增加有关(图2b)。研究者推测,极高值可能反映了肌肉质量减少(如虚弱或恶病质)或糖尿病早期的肾小球超滤过状态。此外,在不同年龄组(40~64岁和65~100岁)中,eGFR百分位数与KFRT和全因死亡率的关联保持一致。

图2.eGFR百分位数与KFRT(a)和全因死亡率(b)的风险比
研究中,KFRT的绝对风险较低(平均<1%),但在eGFR低于第25百分位的参与者中(0.85%)高于处于第45~55百分位的参与者(0.04%)。男性的绝对风险高于女性(约为后者的两倍)。该40~100岁人群的死亡10年绝对风险约为17%,其中eGFR低于第25百分位或高于第75百分位的参与者风险更高(18.6%),而处于第45~55百分位的参与者风险为15.12%。
eGFR低于第25百分位个体的特征表1总结了至少出现1次eGFR值低于第25百分位个体的特征。其中,421 547例eGFR≥60 ml/(min·1.73m2),187,415例eGFR<60 ml/(min·1.73m2)。eGFR百分位数低但eGFR≥60 ml/(min·1.73m2)者平均年龄比eGFR百分位数和eGFR均较低[<60 ml/(min·1.73m2)]者小21岁。
白蛋白尿检测率总体偏低,在高危人群中检测频率稍高。具体数据显示:eGFR≥60 ml/(min·1.73m2)者中24%在eGFR检测前后1年内接受白蛋白尿检测,eGFR<60 ml/(min·1.73m2)者中该比例为39%。在合并糖尿病、高血压或心血管疾病(CVD)的个体中,白蛋白尿检测率较高且在eGFR高低亚组差异较小——糖尿病患者66% vs. 64%,高血压患者39% vs. 44%,心血管疾病患者33% vs. 38%。而无这些合并症的个体检测率较低,且eGFR组间差异更明显:eGFR≥60 ml/(min·1.73m2)组为17%,eGFR<60 ml/(min·1.73m2)组为28%。
表1. 按年龄和性别分层后eGFR低于第25百分位受试者的特征
对白蛋白尿分布情况及其介导作用的探索仅有少数(28%)参与者在eGFR测量前一年内有白蛋白尿评估记录。随着eGFR百分位数降低,接受白蛋白检测的参与者比例有升高趋势,同时重度白蛋白尿(A2或A3级)病例的比例也有升高趋势。
基于“在eGFR测量前一年内进行过白蛋白尿检测”这一条件,我们选取了部分参与者作为子队列。由于白蛋白尿检测的临床指征影响,与主队列相比,该子队列中合并症患者比例更高,且人群年龄更大、eGFR更低。经白蛋白尿水平校正后,eGFR分布低于第25百分位参与者发生KFRT的风险值显著降低,但效应量依然较高,具有统计学和临床意义。
4.主要结论该研究强有力地证明,低于人群分布第25百分位数的eGFR值与肾衰竭和死亡风险增加相关。因此,基于人群的eGFR分布图可以作为现有eGFR自动报告系统的有力补充,为CKD的早期识别和一级预防提供了一个宝贵的机会。这一工具可助力临床医生识别出在传统标准下可能被遗漏的高风险个体,进而启动进一步的评估(如白蛋白尿检测)与干预。
二、专家点评:eGFR——CKD个体化筛查新方法来自比利时列日大学的Pierre Delanaye教授和法国圣埃蒂安大学的Christophe Mariat教授在同期发表的评论文章[2]中,对这一新工具的临床价值给予了高度评价,并深入剖析了当前CKD检测面临的挑战。
1.当前CKD检测的两大困境困境一:尿白蛋白/肌酐比值(ACR)检测严重不足。尽管ACR是评估肾脏损伤和预测预后的关键指标,但在临床实践中,即便是在糖尿病、高血压等高危人群中,其检测也远未普及。数据显示,瑞典仅有39%的CKD患者接受了ACR检测,这严重限制了对患者风险的全面评估和精准治疗。
困境二:eGFR固定阈值的局限性。现行的eGFR<60 ml/(min·1.73m2)的诊断标准,忽略了肾功能随年龄生理性衰退的自然规律。这可能导致在老年人中出现“过度诊断”,给患者带来不必要的心理负担和医疗干预;而在年轻人中,则可能“漏诊”那些肾功能下降速度过快、eGFR虽高于60 ml/(min·1.73m2)但已处于低百分位数的早期CKD患者。
2.eGFR百分位数:更符合生理规律的个性化评估Yang等人的研究恰好解决了固定阈值的核心痛点。通过引入年龄和性别特异性的百分位数,临床医生可以判断一个患者的eGFR水平在其同龄人中所处的位置。一个45岁的男性,eGFR为75ml/min/1.73m2,虽然远高于60ml/min/1.73m2的阈值,但如果这个值低于其年龄组的第10百分位数(P10),就强烈提示其肾功能可能存在异常下降,需要密切关注和进一步检查。
这种方法不仅更好地反映了eGFR随年龄变化的生理行为,更重要的是,它能有效识别出那些具有更高不良结局风险的个体,实现了从“一刀切”到“个性化”的转变。
3.迈向CKD检测新策略:整合eGFR百分位数与ACR检测基于该研究成果,专家们提出了一套针对CKD检测的创新策略。借助eGFR检测的广泛普及性,实验室在出具eGFR检测报告时,同步自动计算并附加该数值对应的年龄-性别百分位数。通过设置警报阈值,当患者eGFR数值低于特定百分位数(如P25)——这提示可能存在肾脏功能受损——系统将自动向临床医生发出警报,并建议开展ACR检测以做进一步评估。此外,还需实施个性化风险评估与管理方案:结合eGFR百分位数与ACR检测结果,利用肾衰竭风险方程等工具评估患者的绝对风险,进而制定针对性的治疗及随访计划。
这一策略充分利用了现有医疗数据,通过智能化的方式赋能临床医生,有望显著提高CKD的早期检出率和干预效果。虽然关于最佳百分位数阈值(P25、P10还是P5)仍需进一步研究,但这一方向无疑为CKD的防治带来了新的方向。
三、结语慢性肾病的早期检测是改善患者预后的关键。瑞典的大规模人群研究为我们提供了一个强有力的证据:基于年龄和性别调整的eGFR百分位数,是一个能够有效识别高风险个体的个性化新工具。它克服了传统固定阈值的局限性,使我们能够更早、更精准地发现潜在的CKD患者。
将eGFR百分位数整合到常规实验室报告中,并与ACR检测相结合,有望构建一个更高效、更智能的CKD筛查和管理体系。
参考文献:
1.Kidney International (2026) 109, 559–568.
2.Kidney International (2026) 109, 430–441.