慢性肾脏病-矿物质和骨骼紊乱(CKD-MBD)是慢性肾脏病(CKD)的常见并发症,其特征为钙、磷、甲状旁腺激素(PTH)或维生素D代谢紊乱,与发病率和死亡率增加有关。越来越多的证据表明,矿物质生物标志物的异常可能参与了CKD的进展。近期一项在国际顶刊Kidney Int在线发表的研究旨在通过g-公式分析,评估CKD-MBD生物标志物(磷、PTH和钙)的纵向变化对未透析的晚期CKD患者肾功能下降、开始透析的风险以及死亡或透析的复合风险的影响,并探讨这些影响在男性和女性之间是否存在差异。

研究背景CKD-MBD与CKD进展之间的关系复杂,既可能是CKD进展的原因,也可能是其结果。既往研究已发现,高磷血症和继发性甲状旁腺功能亢进与CKD进展风险增加有关,但关于低钙血症与CKD进展的关系尚不明确。此外,以往的研究多存在一些局限性,如仅关注单一生物标志物,以及未评估时间依赖性混杂因素等。该研究通过使用g-公式进行因果推断,克服了这些局限性,为CKD-MBD与CKD进展的关系提供了更为准确的评估。
研究方法研究数据来源于欧洲质量(EQUAL)研究,该研究是一项前瞻性队列研究,纳入了来自德国、意大利、荷兰、波兰、瑞典和英国的1709例65岁及以上、估算肾小球滤过率(eGFR)≤20 ml/min/1.73m2的CKD患者。研究排除了因急性事件导致eGFR下降或既往接受过肾脏替代治疗的患者。参与者在4年的随访期间至少有一次磷、PTH或钙的测量值。
研究的主要终点是eGFR随时间的变化轨迹,次要终点包括4年内开始透析的风险以及死亡或透析的复合风险。
g-公式应用
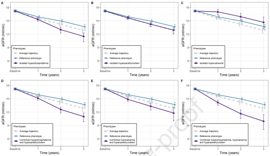
为处理时间依赖性暴露和混杂因素,本研究采用了g-公式。该方法通过模拟不同风险因素暴露下的反事实场景,估计暴露对结果的因果效应。研究中模拟了多种CKD-MBD表型,包括孤立的高磷血症、孤立的甲状旁腺功能亢进、孤立的高钙血症、联合高磷血症和甲状旁腺功能亢进、联合低钙血症和甲状旁腺功能亢进,以及联合高磷血症、低钙血症和甲状旁腺功能亢进等。
研究结果患者特征纳入研究的1709例患者平均年龄为76.3岁,其中男性占66%。基线时,男性患者的平均eGFR略低于女性,PTH水平略高于女性,而女性患者的磷和钙水平略高于男性。在基线时,CKD-MBD相关药物的使用在两性之间存在一些差异,女性接受维生素 D 类似物和钙补充剂的比例更高。
eGFR轨迹
随访期间,患者的eGFR呈下降趋势。与参考表型(磷<4.5 mg/dl、PTH<150 pg/ml和钙8.5~10.5 mg/dl)相比,除孤立的高钙血症外,其他所有测试的表型均与更陡峭的eGFR下降相关(图1)。特别是联合高磷血症、低钙血症和甲状旁腺功能亢进的表型,其eGFR下降最为显著,3年后与参考表型相比平均eGFR差异为-3.71 ml/min/1.73m2。孤立的高磷血症在 3年后与参考表型相比平均eGFR差异为-2.15 ml/min/1.73m2,而当高磷血症与甲状旁腺功能亢进联合时,这一差异进一步增加至-2.66 ml/min/1.73m2。

图1. 不同模拟CKD-MBD表型下的eGFR变化轨迹
透析启动风险
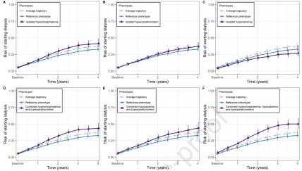
在研究期间,570例患者开始透析,397例患者在有机会开始肾脏替代治疗之前死亡。与参考表型相比,孤立的高磷血症与更高的透析启动风险相关(风险比[HR] 1.34,95%CI:1.15~1.54)(图2)。这种风险随着高磷血症与甲状旁腺功能亢进的联合进一步增加(HR 1.43,95%CI:1.23~1.75),而最高的风险出现在联合高磷血症、低钙血症和甲状旁腺功能亢进的表型中(HR 1.75,95%CI:1.35~2.10)。孤立的甲状旁腺功能亢进也与透析启动风险的轻微增加相关(HR 1.17,95%CI:1.05~1.28),而低钙血症与甲状旁腺功能亢进的联合进一步增加了这种关联(HR 1.44,95%CI:1.16~1.72)。孤立的高钙血症与参考表型相比风险无显著差异。

图1. 不同模拟CKD-MBD表型下开始透析的风险轨迹
性别差异
尽管在两性中矿物质异常对eGFR下降的影响相似,但男性开始透析的风险更高。男性患者的eGFR下降速度更快,且在4年时开始透析的观察风险为43%,而女性为28%。对于复合结局(死亡或透析启动),男性的风险为73%,女性为57%。在男性中,联合高磷血症、低钙血症和甲状旁腺功能亢进的表型与参考表型相比,透析启动风险增加了85%,而在女性中这种风险增加不明显。
讨论与结论该研究结果表明,在晚期CKD患者中,高磷血症、中度至重度甲状旁腺功能亢进以及它们与低钙血症的共存均与CKD进展风险增加相关。这些发现与既往的观察性研究结果一致,强调了在晚期CKD中管理矿物质紊乱对于延缓疾病进展的重要性。尽管动物实验已证实高磷饮食可诱导肾小管损伤和间质纤维化,但磷酸盐的肾毒性机制尚不明确。可能的机制包括高磷血症与炎症标志物水平升高相关,促进钙磷蛋白颗粒的形成,以及增加PTH和成纤维细胞生长因子23(FGF23)水平,这些因素均与CKD进展风险增加有关。
该研究还发现,在评估CKD-MBD与CKD进展的关系时,需要综合考虑磷、钙和PTH三个生物标志物。此外,研究结果还提示,在老年CKD患者中,男性可能更容易受到矿物质紊乱对透析启动风险的影响。这可能与男性和女性在CKD-MBD相关症状的关联性不同,以及老年女性更倾向于选择保守治疗而非透析有关。
总而言之,该研究的结果仍为CKD-MBD与CKD进展的关系提供了重要的见解,并支持对高磷血症进行治疗以及在存在高磷血症时尽量减少低钙血症和中度至重度甲状旁腺功能亢进,以延缓疾病进展和推迟透析启动的指南建议。
参考文献:Magagnoli L, et al. Kidney Int . 2025 Sep 9:S0085-2538(25)00676-3. doi: 10.1016/j.kint.2025.07.032. Online ahead of print.