发表时间:2026-02-03 10:44:21
为此,一项发表在Renal Failure杂志上的多中心回顾性研究,通过大样本和长期随访数据,系统评估了GS比例对IgA肾病患者肾脏预后的预测价值。

GS定义为整个肾小球的毛细血管袢发生瘢痕化或玻璃样变性。根据GS比例的中位数(10%),将患者分为两组:GS1组(GS<10%,817例,占50.2%)和GS2组(GS≥10%,809例,占49.4%)。研究采用倾向评分匹配(PSM)以控制基线差异,最终每组各436例患者进入匹配队列。
研究终点为复合肾脏结局,包括eGFR下降超过40%基线值或进展至ESKD[eGFR<15 ml/(min·1.73m²),需透析或肾移植]。
统计学分析包括Kaplan-Meier生存分析、Cox比例风险回归模型、ROC曲线分析、连续净重分类改进(cNRI)和综合判别改进(IDI),以评估GS在预测模型中的增量价值。
匹配前,GS2组患者年龄更大(36岁 vs. 30岁)、eGFR更低(89.1 vs. 114.9 mL/min/1.73m²)、蛋白尿>1 g/d的比例更高(44.1% vs. 27.1%),且M1、S1、T1–T2病变比例均显著高于GS1组(P< 0.001),提示GS比例较高的患者临床与病理损伤更严重。经PSM后,两组基线特征趋于平衡,无显著差异,确保了后续分析的可比性。
2. GS与肾脏生存的关系
中位随访时间78.7个月,完整队列中GS2组共有104例(12.9%)达到复合终点,显著高于GS1组的27例(3.4%)。Kaplan-Meier分析显示GS2组肾脏生存率显著更低(log-rank P<0.05,图1A)。多因素Cox回归分析表明,GS≥10%是肾脏不良结局的独立危险因素(HR=1.661,95%CI: 1.026~2.688,P=0.039)。
匹配队列中位随访时间为76.2个月,GS1组和GS2组分别有13例(3.0%)和35例(8.0%)达到主要结局。Kaplan-Meier分析结果与总队列一致,GS2组肾脏衰竭风险显著更高(Log-rank P<0.05,图1B);多变量Cox回归进一步证实,GS比例≥10%仍是独立危险因素(HR=2.082,95%CI: 1.081~4.013,P=0.028)。

图1. 进展至肾衰竭的Kaplan-Meier生存曲线
3. 其他独立预测因素
多因素分析还识别出以下独立预测因素:24小时尿蛋白≥1g(HR=2.745~3.493)、eGFR下降(CKD 3~4期 vs. CKD 1期,HR=2.968~6.970)、T1–T2病变(HR=2.589~3.674),皮质类固醇治疗为保护因素(HR=0.454,P= 0.009)。
4. GS与T评分的关系及交互作用
考虑到GS与T评分的潜在关联,研究进一步进行亚组分析。在总队列中,T0评分患者中,GS2组肾脏衰竭风险显著高于GS1组(HR=2.131,95%CI:1.186~3.830,P=0.011),而T1+T2评分患者中两组差异无统计学意义(HR=1.065,95%CI:0.368-3.087,P=0.907);匹配队列观察到类似的结果。
Spearman相关分析显示GS与T评分在完整队列中相关性较弱(r=0.455),在匹配队列中更弱(r=0.077)。交互项分析表明GS与T之间无显著交互作用(P>0.5),提示GS对预后的影响独立于T评分,尤其在肾小管间质损伤较轻(T0)的患者中更具预测价值。
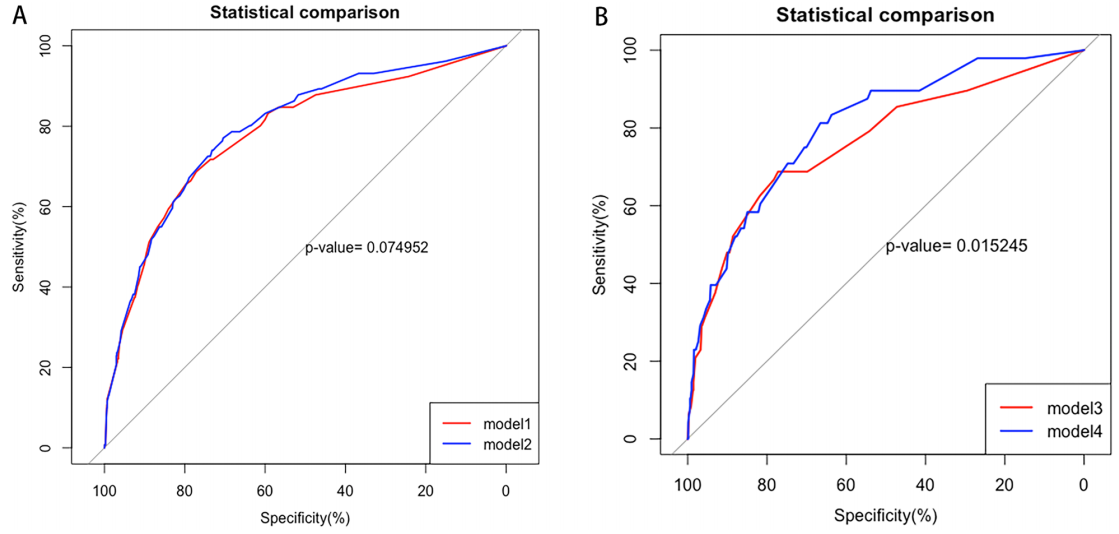
5.预测模型性能提升
预测模型评估方面,总队列中,仅包含24-h UTP、eGFR、糖皮质激素使用及T评分的模型1(AUC=0.782,95%CI:0.7378-0.8267),在纳入GS比例后形成的模型2,AUC提升至0.795(95%CI:0.753-0.837);匹配队列中,模型3(不含GS,AUC=0.764,95%CI:0.6859-0.8427)纳入GS比例后形成的模型4,AUC显著提升至0.804(95%CI:0.74-0.868,P=0.015,图2)。此外,cNRI 和 IDI 分析显示,纳入 GS 比例后,两组模型的判别能力均有改善,尤其是匹配队列中 IDI 显著增加(P=0.001),证实 GS 比例可显著提升 IgA 肾病预后预测模型的准确性。

图2. 根据生存模型,5年时肾衰竭结局的ROC曲线
尽管GS与T病变存在一定相关性,但改研究显示其相关性较弱,且无显著交互作用,支持将GS作为独立指标进行评估。此外,皮质类固醇治疗显示保护作用,但其具体方案和安全性仍需进一步研究。
研究的局限性包括其回顾性设计、未记录药物具体剂量与疗程、以及缺乏外部验证。未来需开展前瞻性、多中心研究以验证GS的临床适用性,并探索其与其他生物标志物的联合应用价值。
参考文献:Zou WL, et al. Ren Fail . 2025 Dec;47(1):2486567.