发表时间:2026-03-13 10:40:10

摘要号:APCN20250120
中文标题:内皮细胞铁死亡是糖尿病肾病的致病驱动因素:多组学与孟德尔随机化研究的启示
研究者:Lei Chen(中国四川大学华西医院)
研究概要:近年研究强调铁死亡是DN发病机制中关键的潜在驱动因素,但两者的因果机制仍不明确;此外,铁死亡相关基因在DN进展中对肾小球细胞功能障碍的具体作用也有待进一步探究。四川大学华西医院这项研究通过整合孟德尔随机化分析与单细胞多组学数据,首次提出内皮细胞铁死亡是糖尿病肾病(DN)的因果驱动因素。研究筛选出CDKN1A、CEBPG和EPAS1三个关键基因,其中CDKN1A为风险因子,后两者为保护因子。这些基因在内皮细胞中富集且其染色质可及性增高,提示其在内皮细胞铁死亡及DN进展中发挥核心作用。此外,转录因子结合分析表明,FOS、FOSL2、BHLHE40可能作为CDKN1A的上游调控因子,参与调控其表达及下游病理效应。该发现为针对内皮功能障碍的DN治疗提供了全新视角和潜在分子靶点。
2. 细胞器互作蛋白PDZD8调控急性肾损伤炎症
摘要号:APCN20250331
英文标题:The Organelle Tethering Protein PDZD8 Regulates Endolysosomal Maturation and TLR9–NF-κB Signaling in Cisplatin-Induced Acute Kidney Injury中文标题:细胞器锚定蛋白PDZD8调控顺铂诱导急性肾损伤中的内体成熟及TLR9-NF-κB 信号通路
研究第一作者:Yuto Takenaka(日本东京大学)研究概要:研究揭示了内质网(ER)-内溶酶体膜接触位点(MCS)在顺铂诱导急性肾损伤(AKI)中的关键作用。ER驻留蛋白PDZD8作为细胞器栓系蛋白,维持内溶酶体成熟及TLR9向该细胞器的运输,从而激活NF-κB炎症通路。敲除PDZD8可减轻肾小管损伤和炎症反应,且不影响线粒体损伤程度,表明其特异调控损伤后炎症信号转导。该研究将细胞器互作与先天免疫联系起来,为靶向器官间通讯治疗炎症性肾病开辟了新道路。
3. 周细胞DDR2激活推动AKI向CKD转变
摘要号:APCN20250083
英文标题:Activation of Discoidin Domain-containing Receptor 2 in Pericytes Plays A Crucial Role in The AKI-to-CKD Continuum中文标题:周细胞中盘状结构域受体 2 的激活在 AKI 向 CKD 进展过程中发挥关键作用
研究者:Hui-Chiun Tseng(中国台湾大学)研究概要:研究明确了盘状结构域受体2(DDR2)在周细胞中介导AKI向CKD转变的核心角色。在AKI后,肾脏周细胞中DDR2表达上调,其被胶原蛋白Ⅰ激活后促进促纤维化基因的表达。使用特异性抑制剂WRG-28可抑制胶原蛋白Ⅰ诱导的DDR2活化、减少周细胞活化和胶原蛋白生成。该研究证实了细胞外基质-受体相互作用在肾脏纤维化启动中的直接作用,提示调控周细胞DDR2活性是阻断AKI向CKD进展的潜在治疗策略。
4. 间质Palladin表达与人类慢性肾病纤维化相关
摘要号:APCN20250411
英文标题:The Involvement of Interstitial Palladin Expression in Patients with Chronic Kidney Diseases中文标题:间质Palladin表达在慢性肾脏病患者中的作用
研究者:Naoki Yamamoto(日本金泽大学)5. AI空间转录组模型解析新月体肾炎纤维化互作
摘要号:APCN20250937
英文标题:AI-Based Spatial Transcriptomic Modeling Identifies Key Immune-Fibrotic Interactions Underlying Glomerular Crescent Formation in Autoimmune Nephritis中文标题:基于AI的空间转录组学模型识别自身免疫性肾炎肾小球新月体形成的关键免疫-纤维化互作
研究者:Rini Winarti(印度尼西亚日惹国立大学)研究概要:研究利用图神经网络(GNN)分析新月体肾炎患者的空间转录组数据,成功构建了预测肾小球内“纤维化倾向区域”的AI模型(AUROC 0.79)。模型识别出CCL2-CCR2、TGFB1-TGFBR2和JAG1-NOTCH2是关键的空间配体-受体互作对,并发现CD163+巨噬细胞与壁层上皮细胞(PEC)的邻近关系是纤维化灶的典型特征。本研究提出一种结合转录组数据与图分析的AI空间建模方法,用于表征肾小球新月体内的纤维化风险。研究结果支持空间配体-受体互作可作为自身免疫性肾小球肾炎的潜在治疗靶点。
6. 深度学习整合cfDNA甲基化与临床轨迹以预测移植排斥
摘要号:APCN20250906
英文标题:Deep Learning Integration of Cell-Free DNA Methylation and Clinical Trajectories to Predict Acute Rejection in Pediatric Kidney Transplantation中文标题:整合游离DNA甲基化与临床轨迹的深度学习模型预测儿童肾移植急性排斥反应
研究者:Rifaldy Fajar(印度尼西亚IMCDS-BioMed研究基金会)研究概要:针对儿童肾移植后急性排斥反应无创早期预警的难题,本研究开发了一个基于Transformer的多模态深度学习模型。该模型整合了游离DNA(cfDNA)全基因组甲基化特征、纵向肾功能轨迹(肌酐、eGFR)及免疫指标,成功预测急性排斥(AUROC 0.82)和临界性排斥(AUROC 0.79),且在低龄儿童(<10岁)中预测性能更优。关键特征包括cg13754931(IFNGR1启动子)与cg09812044(IL10RA内含子)的甲基化改变以及肾功能快速下降斜率(肌酐斜率>0.25 mg/dl/周、14天内eGFR下降>25%)。该框架实现了无创、动态、个体化的排斥风险分层,有望整合至移植后护理路径中。
7. CD8+ T细胞染色质可及性作为IgA肾病进展标志物
摘要号:APCN20250280
英文标题:Predicting IgA Nephropathy Progression Through CD8+ T-Cell Chromatin Accessibility Analysis中文标题:通过CD8+T细胞染色质可及性分析预测 IgA 肾病进展
研究者:Soojin Lee(韩国议政府乙支大学)研究概要:研究通过ATAC-Seq技术分析了IgA肾病患者外周血CD8+ T细胞的染色质可及性图谱。发现早期与晚期患者存在279个差异可及区域,并识别出122个阶段特异性标志物(图1)。早期患者以初始T细胞为主,富集ETS1、CDF1、RUNX2等转录因子基序;晚期患者则以终末分化效应记忆T细胞为主,富集EOMES、TBX21、IRF4基序。基于这些表观遗传标志物的组合模型显示出强大的疾病分期鉴别能力,为IgA肾病提供了一种潜在的无创进展预测工具。

图1
8. 动态eGFR轨迹算法重新定义糖尿病肾小球高滤过

摘要号:APCN20250198
中文标题:2型糖尿病中肾小球高滤过的早期动态识别与慢性肾脏病的关联研究者:Qinbo Yang(中国四川大学华西医院)
研究概要:肾小球高滤过(GHF)以肾小球滤过率(GFR)超出生理水平的升高为特征,目前尚无明确的定义。四川大学华西医院的这项研究创新性地提出了一种基于纵向eGFR轨迹的动态算法,以识别2型糖尿病(T2DM)早期的肾小球高滤过(GHF)。与传统静态定义不同,该算法能区分出不同轨迹模式的GHF亚组。研究发现,特定模式的GHF(Group 2)能独立预测更快的eGFR下降及进展至CKD 3b期的风险(调整后HR 1.92)。该研究强调了个体化eGFR动态变化模式在糖尿病肾病风险评估中的重要性,推动了GHF定义的精准化。
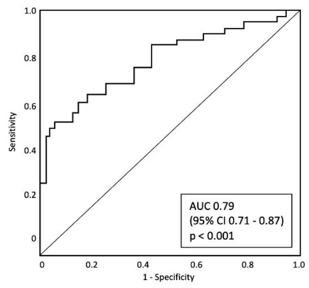
9. 床旁大腿超声评估腹膜透析患者体成分与预后
摘要号:APCN20250874
英文标题:The clinical utility of point-of-care ultrasound measurements of thigh muscle and adipose tissue thickness for assessing body composition, frailty, and predicting clinical outcomes in patients undergoing peritoneal dialysis中文标题:床旁超声测量大腿肌肉与脂肪组织厚度在腹膜透析患者体成分评估、衰弱筛查及临床结局预测中的应用价值
研究者:Chan Chun Kau Gordon(中国香港中文大学)研究概要:这项前瞻性研究验证了使用便携式超声测量大腿前侧中点处的肌肉厚度(MT,即股直肌与股中间肌厚度之和)和脂肪厚度(AT)在腹膜透析(PD)患者中的临床应用价值。MT与生物电阻抗测得的瘦组织指数及衰弱指标显著相关,对肌少症诊断有良好效能(AUROC 0.79)(图2)。同时发现肌肉减少合并脂肪减少的患者,其PD技术失败率最高(调整后HR 11.7)。该研究证明床旁超声是一种简便、可靠的PD患者营养与衰弱评估工具,有助于识别高危患者并及早干预。

图2
10. 新冠大流行期间腹膜透析相较于血液透析的生存优势
摘要号:APCN20250188
英文标题:Survival Advantage of Peritoneal Dialysis Over Hemodialysis During the Coronavirus Disease 2019 Pandemic: A Prospective Cohort Study中文标题:2019冠状病毒病大流行期间腹膜透析相较于血液透析的生存优势:一项前瞻性队列研究
研究者:Tz-Heng Chen(中国台北荣民总医院)研究概要:这项前瞻性队列研究在新冠大流行背景下,直接比较了腹膜透析(PD)与血液透析(HD)患者的感染与死亡风险。结果显示,PD患者发生SARS-CoV-2感染的风险(aHR 0.33)和全因死亡风险(aHR 0.12)均显著低于HD患者。虽然较高的抗S蛋白抗体滴度和COVID-19疫苗接种与死亡率降低相关,但二者均与SARS-CoV-2感染风险降低无关。该研究为重大公共卫生事件中终末期肾病患者肾脏替代治疗模式的选择提供了高级别循证依据。
结语
本次提名的十项研究,犹如十把精准的手术刀,从不同层面剖析了肾脏疾病的复杂性。它们不仅深化了我们对肾病生物学本质的理解,更将前沿技术(AI、多组学、表观遗传)与临床需求紧密结合,成功搭建了从“机制发现”到“生物标志物”,再到“临床评估与决策”的转化桥梁。这预示着亚太地区肾脏病学正迈向一个更精准、更个体化、更具预见性的新时代。