慢性肾脏病合并2型糖尿病是全球重大公共卫生问题,肾素-血管紧张素系统抑制剂(RASi)是此类患者心肾保护的基础用药,但高钾血症作为其常见不良反应,常导致治疗中断并削弱心肾获益。钠-葡萄糖协同转运蛋白2抑制剂(SGLT2i)或可降低RASi相关高钾血症风险,而非甾体盐皮质激素受体拮抗剂非奈利酮也已证实能改善患者心肾结局。SGLT2i与非奈利酮联用会如何呢?近期,CONFIDENCE试验的预设二次分析表明,联合用药对血清钾水平的平均变化以及中度或重度高钾血症的发生率均无显著影响,且高钾血症并非该治疗方案中白蛋白尿降低的介导因素(图1)。

图1.研究概要
多中心、双盲、Ⅱ期随机对照CONFIDENCE试验在14个国家开展。本研究基于CONFIDENCE试验,共纳入779例合并白蛋白尿的2型糖尿病合并慢性肾脏病患者,按1:1:1比例随机分为恩格列净单药组、非奈利酮单药组、联合治疗组。CONFIDENCE试验的预设二次分析聚焦恩格列净、非奈利酮单药及联合使用对高钾血症的影响,同时探讨高钾血症是否介导白蛋白尿的降低。
一、研究结果(一)血清钾水平的平均变化含非奈利酮的治疗方案(单药及联合)均导致血清钾较基线显著升高(图2),且非奈利酮单药组与联合治疗组的血清钾平均变化无显著差异(P=0.91)。

图2.按治疗组分层、依基线血钾水平划分的血清钾较基线的平均变化
基线血钾水平越低,血清钾升高幅度越大;基线eGFR越低,血清钾升高幅度也越大(P=0.008)(图3)。在联合治疗组和非奈利酮单药组中,血清钾在治疗14天时升高幅度达到峰值,分别约0.2 mmol/L和0.25 mmol/L,后续逐渐回落,停药后恢复至基线水平(图2)。

图3. 按治疗组分层、依基线eGFR划分的血清钾较基线的平均变化
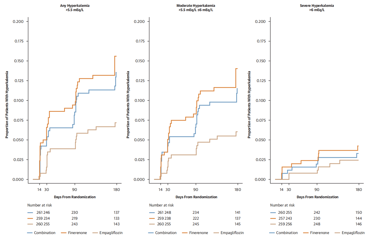
(二)高钾血症的发生率及基线特征在研究180天内,所有研究组的高钾血症事件均随时间逐渐累积(图4),整体高钾血症发生率为14.5%(113例/779例),其中联合治疗组为15.1%(40/265),非奈利酮单药组为18.8%(48例/255例),恩格列净单药组为9.7%(25/259),联合治疗组与非奈利酮单药组的高钾血症发生率无显著差异(P=0.85)。
发生高钾血症的患者更常见为男性、居住在亚洲,且基线血钾更高、eGFR更低、UACR更高,慢性肾脏病分期及白蛋白尿严重程度也更重。

图4. 180天内高钾血症的Kaplan-Meier曲线
(三)高钾血症的影响因素Logistic回归分析显示,基线血钾、eGFR及治疗方案均是高钾血症发生的决定因素(图1):基线血钾每升高1 mmol/L,高钾血症发生的校正比值比(aOR)为9.23;eGFR每降低5 ml/(min·1.73m²),aOR为1.11;与恩格列净单药相比,联合治疗组aOR为2.69,非奈利酮单药组aOR为2.56。非奈利酮组与联合治疗组的aOR无显著差异(P=0.85)。
(四)高钾血症对白蛋白尿降低的介导作用因果中介分析结果显示,高钾血症并非治疗后UACR降低的因果通路。非奈利酮单药与联合治疗相比,UACR降低的中介比例仅为0.2%;恩格列净单药与联合治疗相比,中介比例为-3.3%。
(五)不良事件整体高钾血症相关不良事件的研究者报告率为8.1%(65/798),中心实验室检测确诊的高钾血症患者中,仅39.8%(45/113)被研究者报告,而无实验室高钾血症证据的患者中,2.9%(20/685)被研究者报告高钾血症。
发生高钾血症的患者中,任何不良事件发生率为65.5%,高于未发生者的49.8%,但因不良事件导致的治疗停药率在两组间无显著差异(3.5% vs. 3.8%),严重不良事件及因严重不良事件的停药率在两组间也无明显差异。研究中共报告6例死亡(0.8%),其中高钾血症组1例,非高钾血症组5例,均无与高钾血症相关的死亡病例。
二、讨论本研究首次在随机对照试验中证实,恩格列净联合非奈利酮治疗时,高钾血症发生风险及血清钾升高幅度与非奈利酮单药治疗无显著差异,提示恩格列净未能显著降低非奈利酮相关的高钾血症风险,这与部分非随机研究及荟萃分析的结果存在差异。
分析差异原因,可能与非奈利酮本身导致的血钾升高幅度较小相关(约0.18 mmol/L),远低于螺内酯等甾体类药物,使得恩格列净的降钾作用难以被检测到;同时,SGLT2i的钾代谢调节作用具有复杂性,其虽可通过增加远端肾小管钠输送促进钾排泄,但也会通过管-球反馈抑制RAS激活等途径减少钾流失,这种双向作用可能导致其降钾效果仅在基线血钾更高或肾脏钾代谢负荷更大的患者中显现。此外,本研究随访周期为6个月,且排除了血糖控制不佳的患者,也可能未捕捉到SGLT2i长期的降钾效应。
研究明确了基线血钾、eGFR及含非奈利酮的治疗方案是合并白蛋白尿的2型糖尿病合并慢性肾脏病患者高钾血症的核心影响因素,这一结果与既往非奈利酮相关研究结论一致。同时,因果中介分析证实高钾血症并非治疗后白蛋白尿降低的介导因素。
从临床实践角度,最新的KDIGO及美国糖尿病协会指南推荐,对于使用最大耐受剂量RASi仍存在白蛋白尿的2型糖尿病合并慢性肾脏病患者,可联合使用SGLT2i和非奈利酮,本研究结果为该指南推荐提供了安全性支持。尽管联合治疗的高钾血症发生率与非奈利酮单药相当,但重度高钾血症少见,且通过规范的血钾监测和剂量调整,药物停药率极低,提示在严密的临床监测下,该联合治疗方案具有良好的安全性。
本研究也存在一定局限性:作为临床试验,血钾的规范监测和管理可能降低了高钾血症的不良后果,与真实世界临床场景存在差异;白蛋白尿为肾脏疾病进展的中间结局,研究缺乏硬终点及长期随访数据;此外,尚需进一步研究以评估对于可控制的高钾血症患者,继续治疗是否能获得更佳疗效。
三、研究结论CONFIDENCE试验的二次分析证实,基线血钾水平、eGFR及含非奈利酮的治疗方案是合并白蛋白尿的2型糖尿病合并慢性肾脏病患者发生高钾血症的关键决定因素。在180天的随访期内,恩格列净联合非奈利酮治疗并未显著降低血清钾的平均升高幅度,也未减少中、重度高钾血症的发生风险,且高钾血症并非该治疗方案中白蛋白尿降低的介导因素。
临床实践中,对于接受恩格列净与非奈利酮联合治疗的患者,需积极开展血钾的前瞻性监测和个体化管理,以减少高钾血症的发生,保障这一联合治疗方案的持续应用,从而最大程度发挥其心肾保护作用。未来仍需开展长期、大样本的真实世界研究,进一步验证该联合方案的安全性,尤其关注基线血钾偏高人群的用药风险。
来源:J Am Coll Cardiol. 2026 Feb 24;87(7):772-784. doi: 10.1016/j.jacc.2025.10.049